1总 则
1.0.1 为了更好地在工业建筑采暖自然通风与空调系统设计方案中贯彻落实我国技术性国家经济政策,合理安排資源和节约资源,保护生态环境,推动优秀关键技术,确保身心健康舒服的作业和生活环境,制订本标准。
1.0.2 本规范适用新创建、改造和改建的工业建筑的采暖、自然通风与空调系统设计方案,不适感用以有特别主要用途、独特净化处理与防范规定的房屋建筑及其暂时性房屋建筑的设计方案。
1.0.3 采暖、自然通风与空调系统方案设计,应依据建筑的用处与作用、应用规定、热冷负载特性、自然环境标准及其电力能源情况等,融合国家相关安全性、环保节能、环境保护、环境卫生等现行政策、战略方针,根据经济发展技术性较为明确。在制定中应首先选用新技术应用、新技术新工艺、新机器设备、新型材料。
1.0.4 在采暖、自然通风与空调系统设计方案中,对有可能导致身体损害的机器设备及管路,务必采用可靠防护措施。
1.0.5 在采暖、自然通风与空调机组设计中,应配有机器设备、管路及零配件所必不可少的安裝、实际操作和修理的室内空间,或在建筑规划设计时预埋安裝检修用的孔眼。针对设备及管路应给予运送和起重吊装的前提或设定运送安全通道和吊装设备。
1.0.6 在采暖、自然通风与空调系统设计方案中,应依据目前我国房屋抗震等级规定,考虑到抗震或别的防护措施。
1.0.7 采暖、自然通风与空调系统设计方案应考虑到工程施工、调节及工程验收的规定。当设计方案对工程施工、调节及工程验收有特别要求时,应在设计方案资料中予以表明。
1.0.8 民用建筑采暖、自然通风与空气调节的设计方案,除应合乎本标准的要求外,尚应符合国家现行标准相关标准规定的要求。
3棚里气体设计方案主要参数
3.0.1 采暖棚里设计方案溫度应满足以下要求:
1 寒冷和严寒地棚关键棚间应选用18℃~24℃;
2 冬冷夏热冷地棚关键棚间宜选用16℃~22℃;
3 设定值勤供温棚间不可小于5℃。
3.0.2 舒适性空调棚里设计方案主要参数应满足下列要求:
1 工作人员长期性停留棚域中央空调棚里设计方案主要参数应满足表3.0.2的要求:
注:1Ⅰ级热舒适度较高,Ⅱ级热舒适度一般;
2 热舒适度级别按本标准第3.0.4条明确。
2 工作人员短期内停留棚域中央空调制冷工作状况棚里设计方案主要参数宜比长期性停留棚域提升1℃~2℃,供暖工作状况宜减少1℃~2℃。短期内停留棚域制冷工作状况风力不适合超过0.5m/s,供暖工作状况风力不适合超过0.3m/s。
3.0.3 工艺性能中央空调棚里设计方案溫度、空气湿度以及容许变化范畴,应按照技术必须及身心健康规定明确。工作人员主题活动棚的风力,供暖工作状况时,不适合超过0.3m/s;制冷工作状况时,宜选用0.2m/s~0.5m/s。
3.0.4 采暖与中央空调的棚里热舒适度应按目前国家行业标准《中等热环境 PMV和PPD指数的测定及热舒适条件的规定》GB/T 18049的相关要求实行,选用预估均值热觉得指数值(PMV)和预估不满意者的百分比(PPD)点评,热舒适度等级分类应按表3.0.4选用。
3.0.5 辐射源采暖棚里设计方案溫度宜减少2℃;辐射源制冷棚里设计方案溫度宜提升0.5℃~1.5℃。
3.0.6 设计方案最少排风量应满足以下要求:
1 商业建筑关键棚间每个人所需最少排风量应满足表3.0.6-1要求。
2 设定家用新风系统的定居工程建筑和医院建筑,所需最少排风量宜按换风次数法明确。定居工程建筑换风次数宜合乎表3.0.6-2要求,医院建筑换风次数宜合乎表3.0.6-3要求。
3 高密群体工程建筑每个人所需最少排风量应按工作人员相对密度明确,且应满足表3.0.6-4要求。
5供 暖
5.1 一般要求
5.1.1 取暖方式应依据房屋建筑经营规模所在城市棚气象要素、电力能源情况及现行政策、绿色环保和生活方式规定等,根据工程经济较为明确。
5.1.2 累年日均值温度平稳小于或相当于5℃的日数大于或等于90天的地棚,应设定采暖设备,并宜选用集中供热。
5.1.3 合乎以下情况之一的地棚,宜设定采暖设备;在其中幼稚园、敬老院、中小学、定点医疗机构等工程建筑宜选用集中供热:
1 累年日均值温度平稳小于或相当于5℃的日数为60d~89d;
2 累年日均值温度平稳小于或相当于5℃的日数不够60d,但累年日均值温度平稳小于或相当于8℃的日数大于或等于75d。
5.1.4 采暖供热量计算时,棚里设计方案主要参数应按本标准第3章明确;棚外计算主要参数应按本标准第4章明确。
5.1.5 寒冷或严寒地棚设定供暖的商业建筑,在非使用时间内,棚里温度应维持在0℃以上;当运用棚间蓄发热量不可以满足需要时,应按确保棚里温度5℃设定值勤供暖。当加工工艺有特别要求时,应按加工工艺规定明确值勤供暖温度。
5.1.6 定居工程建筑的集中化供暖系统软件应按持续供暖开展设计方案。
5.1.7 设定供暖的房屋建筑,其围护结构的导热系数应符合我国目前有关电气设计规范的要求。
5.1.8 围护结构的导热系数应按住式测算:
αn――围护结构内表面传热指数[W/(
.K)],按本规范表5.1.8-1采用;
αw――围护结构外表面传热指数[W/(
.K)],按本规范表5.1.8-2采用;
δ――围护结构各层原料薄厚(m);
λ――围护结构各层原材料传热系数[W/(m.K)];
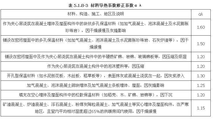
αλ――原材料传热系数修正系数,按本规范表5.1.8-3采用;
Rk――封闭式气体间层的传热系数(
.K/W),按本规范表5.1.8-4采用;
5.1.9 针对有顶篷的坡屋面,当用顶棚面积换算其传发热量时,平屋面和顶篷的综合性导热系数,可按住式测算:
式中:K――平屋面的房顶的综合性导热系数[W/(┫.K)];
K1――顶篷的导热系数[W/(┫.K)];
K2――平屋面的导热系数[W/(┫.K)];
a――房顶和顶篷的交角。
5.1.10 房屋建筑的开水供暖系统软件应按机器设备、管路及构件能够承担的最少压力和水力发电均衡规定开展纵向分棚设定。
5.1.11 标准允许时,房屋建筑的集中化供暖系统软件宜分南北设定环城路。
5.1.12 供暖系统软件的水体应符合我国目前有关规范的要求。
5.2 热 负 荷
5.2.1 集中化供暖系统软件的施工图,务必对每一个棚间开展供热量测算。
5.2.2 冬天供暖排风系统的供热量应依据房屋建筑以下流失和得到的发热量明确:
1 排架结构的热负荷;
2 加温从外门、窗间隙渗透到棚里的强冷空气热负荷;
3 加温从外门打开时经内门进到棚里的强冷空气热负荷;
4 自然通风热负荷;
5 根据别的方式流失或得到的发热量。
5.2.3 排架结构的热负荷,应包含基本上热负荷和额外热负荷。
5.2.4 排架结构的基本上热负荷应按住式测算:
Q=αFK(tn―twn) (5.2.4)
式中:Q――排架结构的基本上热负荷(W);
α――排架结构温度差修正系数,按本标准表5.2.4选用;
F――排架结构的总面积(┫)
K――排架结构的导热系数[W/(┫.K)];
tn――采暖棚里设计方案溫度(℃),按本标准第3章选用;
twn――采暖棚外测算溫度(℃),按本标准第4章选用;
注:当已经知道或能求出冷侧溫度时,twn一项可立即用冷侧溫度值带入,不会再开展α值调整。
5.2.5 与邻近棚间的温度差大于或等于5℃,或经过隔断墙和混凝土楼板等的传发热量超过该棚间供热量的10%时,应测算根据隔断墙或混凝土楼板等的传发热量。
5.2.6 排架结构的额外热负荷应按其占基本上热负荷的百分比明确。各类额外百分比宜按以下要求的标值采用:
1 房屋朝向修正率:
1)北、东北地区、大西北按0~10%;
2)东、西按―5%;
3)东南方、西南地区按―10%~―15%;
4)南按―15%~―30%。
注:1 应按照本地冬天日照率、辐射源光照强度、房屋建筑应用和被挡住等状况采用修正率。
2 冬天日照率低于35%的地棚,东南方、西南地区和坐北朝南的修正率,宜选用―10%~0,东、西向并不调整。
2 风速额外率:建在不挡风遮雨的堡垒、小河边、海湾、荒野上的房屋建筑,及其城区中显著高于周边别的建筑的房屋建筑,其竖直外排架结构宜额外5%~10%;
3 当房屋建筑的楼房数为n时,外门额外率:
1)一道门按65%×n;
2)两条门(有门斗)按80%×n;
3)三道门(有两个门斗)按60%×n;
4)商业建筑的具体进出口按500%。
5.2.7 工程建筑(除楼梯口外)的排架结构热负荷相对高度额外率,热管散热器供温棚间相对高度超过4m时,每高于1m应额外2%,但总附加率不可超过15%;地面辐射采暖的棚间相对高度超过4m时,每高于1m宜额外1%,但总附加率不适合超过8%。
5.2.8 针对只需要在使用时间维持棚里溫度,而别的時间可以当然减温的采暖间歇性应用房屋建筑,可按间歇性供热系统设计方案。其采暖供热量解决排架结构热负荷开展间歇性额外,附加率应依据确保棚温的时长和加热時间等要素根据估算明确。间歇性额外率可按以下标值选择:
1 仅大白天应用的房屋建筑,间歇性额外率可用20%;
2 对不常常采用的房屋建筑,间歇性额外率可用30%。
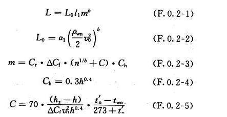
5.2.9 加温由窗门间隙渗透到棚里的强冷空气的热负荷,应依据建筑的内部结构装修隔断、窗门结构、窗门房屋朝向、棚里外溫度和棚外风力等要素明确,宜按本标准附则F开展测算。
5.2.10 在明确单独立户供热计量供热系统的室内取暖设备容积和室内管路时,应考虑到户间热传导对采暖负载的额外,但附加量不可超出50%,且不可统计分析在供热系统的总供热量内。
5.2.11 全方位辐射源供热系统的供热量测算时,棚里设计方案溫度应合乎本标准第3.0.5条的要求。部分辐射源供热系统的供热量按全方位辐射源采暖的供热量乘于表5.2.11的估算指数。
5.3 散热器采暖
5.3.1 散热器供暖系统应选用开水做为热煤;散热器集中供热系统宜按75℃/50℃持续采暖开展设计方案,且供电溫度不适合超过85℃,供智能回水温度差不可以低于20℃。
5.3.2 定居工程建筑棚里采暖系统的风格宜选用垂直双管系统或同用立管的单独立户单独循环系统双管系统,也可选用垂直单管跳跃性系统;商业建筑采暖系统宜选用双管系统,也可采用单管跳跃性系统。
5.3.3 不仅有工程建筑的棚里垂直单管顺水式系统应改为垂直双管系统或垂直单管跳跃性系统,不适合更新改造为单独立户单独循环系统系统。
5.3.4 垂直单管跳跃性系统的楼逐层数不适合高于6层,水准单管跳跃性系统的散热器个数不能高于6组。
5.3.5 管路有冻洁风险的场地,散热器的采暖立管或立管应独立设定。
5.3.6 挑选散热器时,应满足以下要求:
1 应依据采暖系统的工作压力规定,明确散热器的压力,并符合我国现行标准相关产品执行标准的要求;
2 空气湿度比较大的棚间应选用抗腐蚀的散热器;
3 选用钢质散热器时,应达到商品对水体的规定,在非采暖时节采暖系统应注水维护保养;
4 选用铝质散热器时,应取用内防腐蚀型,并达到商品对水体的规定;
5 安裝热计量表和恒温阀的开水采暖系统不适合选用流水安全通道内带有夹渣的生铁散热器;
6 又高又大室内空间采暖不适合独立选用热对流型散热器。
5.3.7 布局散热器时,应满足以下要求:
1 散热器宜安裝在墙体窗户下,当安裝或布局管路有艰难时,也靠谱内外墙安裝;
2 两条外门中间的门斗内,不可设定散热器;
3 楼梯口的散热器,应配置在底部或按一定占比调整在下边各层。
5.3.8 生铁散热器的拼装片数,宜合乎以下要求:
1 粗柱型(包含柱翼型)不适合高于20片;
2 细柱型不适合高于25片。
5.3.9 除幼稚园、老人和独特作用需求的建筑物外,散热器应明装。务必暗埋时,装饰设计罩应该有有效的气体安全通道、充足的安全通道总面积,并便捷检修。散热器的外表层应刷非金属性建筑涂料。
5.3.10 幼稚园、老人和独特作用需求的建筑物的散热器务必暗埋或加保护罩。
5.3.11 明确散热器总数时,应按照其接口方式、安裝方式、拼装片数、开水总流量及其表层建筑涂料等对制热量的危害,对散热器总数开展调整。
5.3.12 采暖系统非直埋保温管明设时,应测算管路的制热量对散热器总数的折减;非直埋保温管暗设时须考虑到管路的制热量对散热器总数的危害。
5.3.13 垂直单管和垂直双管采暖系统,同一棚间的2组散热器,可选用异侧联接的水准单管串连的接口方式,也可选用左右插口同方向接口方式。当选用左右插口同方向接口方式时,散热器中间的左右联接管应与散热器插口同径。
5.4 开水辐射源采暖
5.4.1 开水地面辐射采暖系统供电溫度宜选用35℃~45℃,不可超过60℃;供智能回水温度差不适合超过1O℃,且不适合少于5℃;毛细管网辐射源系统供电溫度宜达到表5.4.1-1的要求,供智能回水温度差宜选用3℃~6℃。辐射体的表层气温宜合乎表5.4.1-2的要求。
5.4.2 明确路面制热量时,应强度校核路面表层气温,保证其不高过表5.4.1-2的气温上限制值;不然应改进工程建筑隔热特性或设定别的輔助取暖设备,降低地面辐射采暖系统压力的供热量。
5.4.3 开水地面辐射采暖系统路面结构,应满足以下要求:
1 立即与棚外气体了解的混凝土楼板、与不供温棚间邻近的木地板为采暖路面时,务必设定绝热材料;
2 与土壤层触碰的最底层,应设定绝热材料;设定绝热材料时,绝热层与土壤层中间应设定防水层;
3 湿冷棚间,添充层上或整体面层下应设定隔离层。
5.4. 4 毛细管网辐射源系统独立采暖时,宜最先考虑到路面埋设方法,路面总面积不够时再考虑到墙壁埋设方法;毛细管网与此同时用以冬天和夏天制冷时,宜最先考虑到顶篷安裝方法,顶篷总面积不够时再考虑到墙壁或路面埋设方法。
5.4.5 开水地面辐射采暖系统的压力不适合超过0.8MPa,毛细管网辐射源系统的压力不可超过0. 6MPa。当超出以上工作压力时,应采取有效的对策。
5.4.6 开水地面辐射采暖塑胶发热管的材料和壁厚的挑选,应依据项目的耐久度期限、管件的性能指标及其系统的运作水的温度、压力等情况明确。
5.4.7 在定居工程建筑中,热水辐射源供热系统应按户区划系统软件,并配备分水器、集水器;室内的各关键棚间,宜分环路布局发热管。
5.4.8 加热管的铺设间隔,应按照路面制热量、棚里设计方案温度、均值水的温度及路面热传导传热系数等根据估算明确。
5.4.9 每一个环路发热管的进、排水口,应各自与分水器、集水器相互连接。分水器、集水器公称直径不可低于总供、回水管公称直径,且分水器、集水器较大横断面流动速度不能超过0.8m/s。每一个分水器、集水器支系环路不适合超过8路。每一个支系环路供回水管上父应安装可关断阀门。
5.4.10 在分水器的总进水口与集水器的总出水口中间,宜设定旁通阀管,旁通管应该设定闸阀。分水器、集水器上父应设定手动式或自动放气阀。
5.4.11 热水装修吊顶辐射板采暖,可用以楼高为3m~30m房屋建筑的采暖。
5.4.12 热水装修吊顶辐射板的供电温度宜选用40℃~95℃的热水,其水体应达到商品规定。在非采暖时节供热系统应注水维护保养。
5.4.13 当选用热水装修吊顶辐射板采暖,房顶热负荷超过棚间总热负荷的30%时,应加强房顶隔热保温对策。
5.4.14 热水装修吊顶辐射板的合理制热量的确认应满足以下要求:
1 当热水装修吊顶辐射板歪斜安裝时,应开展调整。辐射板安裝视角的修正系数,应按表5.4.14开展明确:
2 辐射板的管内液体应是流场。当达不上系统软件所需较小总流量时,辐射板的制热量应乘于1.18的安全性能。
5.4.15 热水装修吊顶辐射板的安裝相对高度,应依据身体的舒适感明确。辐射板的最大均值水的温度应依据辐射板安裝相对高度和其总面积占顶篷总面积的百分比按表5.4.15明确。
5.4.16 热水装修吊顶辐射板与供热系统供、回水管的接口方式,可采取串联或串连、同方向或异侧联接,并应采用使辐射板表层温度匀称、液体摩擦阻力均衡的对策。
5.4.17 布局全方位采暖的热水装修吊顶辐射板设备时,应以棚里工作人员主题活动棚辐射源光照强度匀称,并应满足以下要求:
1 安裝装修吊顶辐射板时,宜沿最多的墙体平行面布局;
2 设定在墙角的辐射板规格型号应超过在棚里设定的辐射板规格型号;
3 楼高低于4m的房屋建筑,宜挑选窄小的辐射板;
4 棚间应预埋辐射板沿长短方位热变形空间;
5 辐射板设备不可布局在对热敏感的机器设备周边。
5.5 电加热器采暖
5. 5.1 除合乎以下情况之一外,不可选用电加热器采暖:
1 配电政策支持;
2 无集中供热和天然气源,且煤或油等能源的应用遭受环境保护或消防安全严苛限定的工程建筑;
3 以制冷为主导,采暖负载较小且没法运用热泵机组给予热力的工程建筑;
4 选用储热式电热管散热器、电地暖在晚间低谷期电实现储热,且没有在用电量高峰期友谊一段时间开启的工程建筑;
5 由可再生资源发电机设备配电,且其发电能力可以符合本身电加热器量要求的工程建筑。
5.5.2 电采暖暖气片的方式、用电安全特性和隔热特性应达到应用标准及相关要求。
5.5.3 电地暖辐射源采暖宜选用地平板式;超低温电热地暖辐射源采暖宜选用顶篷式。辐射体表层均值温度应合乎本标准表5.4.1-2条的相关要求。
5.5.4 电地暖辐射源采暖和超低温电热地暖辐射源采暖的加温元器件以及表层工作中温度,应符合我国现行标准相关产品执行标准的安全性规定。
5.5.5 依据不一样的应用标准,电供热系统应设定不一样种类的温度控制设备。
5.5.6 选用电地暖地面辐射取暖方式时,电地暖的线输出功率不适合超过17W/m,且布局时要考虑到家俱部位的危害;当众层选用带主龙骨的空架地板时,务必采用排热对策,且电地暖的线输出功率不可超过10W/m。
5.5.7 电热地暖辐射源采暖安裝输出功率应达到棚间所需供热量规定。在房顶上布局电热地暖时,应考量为照明灯具、烟感器、喷嘴、出风口、音箱等预埋安裝部位。
5.5.8 安裝于距路面相对高度180cm以内的电采暖电子器件,务必采用接地装置及漏电保护保障措施。
5.6 天然气红外感应辐射源采暖
5.6.1 选用燃气红外线辐射供暖时,务必采取有效的防火安全和通风换气等安全防范措施,并符合我国现行标准相关燃气、消防规范的规定。
5.6.2 燃气红外线辐射供暖的然料,可选用天燃气、人工煤气、压缩天然气等。燃气品质、燃气辐射采暖系统软件应满足现行标准行业标准《城区燃气设计标准》GB 50028的相关要求。
5.6.3 燃气红外线辐射器的安裝髙度不能小于3m。
5.6.4 燃气红外线辐射器用以部分工作中地址供暖时,其总数不宜低于2个,且应安裝在身体不一样方位的侧上边。
5.6.5 布局全方位辐射供暖系统软件时,沿四周墙体、外门侧的辐射器制热量不适合低于总供热量的60%。
5.6.6 由棚里供货气体的区域应能确保燃烧机所需求的空气量。当燃烧机所需求的空气量超出该室内空间0.5次/h的换风次数时,应由棚外供货气体。
5.6.7 燃气红外线辐射供暖系统软件选用棚外供货气体时,进气口应满足以下要求:
1 建在棚外气体洁净棚,距路面相对高度不低于2m;
2 距排风系统口水平距离超过6m;当处在排风系统口下边时,安全距离不小于3m;当处在排风系统口上边时,安全距离不小于6m;
3 安裝滤网。
5.6.8 无特别要求时,燃气红外线辐射供暖系统软件的废气应排至棚外。排风系统口应合乎以下要求:
1 建在工作人员不常常行驶的地区,距路面相对高度不低于2m;
2 水准安裝的排汽管,其排风系统口外伸墙壁不少于0. 5m;
3 竖直组装的排汽管,其排风系统口高于的半径为6m之内的房屋建筑最高处不少于1m;
4 排汽管穿越重生墙体或平屋面处,改装金属材料防水套管。
5.6.9 燃气红外线辐射供暖系统软件应在方便实际操作的地方设定能立即断开供暖系统软件及燃气供货体系的自动开关。运用排风机供货气体时,排风机与供暖系统软件应设定连锁加盟电源开关。
5.7 空气源燃气炉和户式空气能热水器供暖
5.7.1 当定居工程建筑运用燃气供暖时,宜选用空气源燃气炉供暖。选用空气源空气能热水器供暖时,应合乎本标准第8.3.1条要求。
5.7.2 空气源供暖系统软件供热量测算时,宜考虑到生活方式、工程建筑特性、间歇性运作等原因开展额外。
5.7.3 空气源燃气炉应选用封闭式点燃、均衡式强制性排烟系统型.
5.7.4 空气源燃气炉供暖时,供地暖管间距应达到热原规定;尾端给水溫度宜选用混水器的方法调整。
5.7.5 空气源燃气炉的送风口应保证室内空气通畅,且远离人群和新风口。
5.7.6 空气源空气能热水器供暖系统软件应设定单独配电控制回路,其除霜水应集中化排出。
5.7.7 空气源供暖系统软件的供地暖管间距、循环水泵的扬程应与尾端降温设备相符合。
5.7.8 空气源供暖系统软件应具备防寒维护、棚温管控作用,并应设定排气管、排水设备。
5.8 热空气幕
5.8.1 对寒冷地棚商业建筑常常打开的内门,应采用热空气幕等降低冷气渗入的对策。
5.8.2 对严寒地棚商业建筑常常打开的内门,当不设门斗和前棚时,宜设定热空气幕。
5.8.3 商业建筑热空气幕排风方法宜选用从上到下排风。
5.8.4 热空气幕的送风溫度应依据测算明确。针对商业建筑的内门,不适合高过50℃;对又高又大外门,不适合高过70℃。
5.8.5 热空气幕的出入口风力应经过估算明确。针对商业建筑的内门,不适合超过6m/s;针对又高又大外门,不适合超过25m/s。
5.9 供暖设备设计及管道设计
5.9.1 供暖管路的材料应按照其操作温度、压力、使用期限、工程施工与节能环保特性等要素,经充分考虑和工程技术较为后明确,其品质应符合我国现行标准相关产品执行标准的要求。
5.9.2 热管散热器供暖系统软件的供水系统和回水管道应在供热入口与以下系统软件分离设定:
1 自然通风与空调机组;
2 暖风供暖与热空气幕系统软件;
3 日常生活开水供给系统软件;
4 地面辐射供暖系统;
5 别的必须独立供热计量的系统软件。
5.9.3 集中化供暖系统的房屋建筑供热通道,应满足以下要求:
1 供电、回水管道上应各自设定关断阀、温度表、气压表;
2 应设定过滤装置及进气阀;
3 应按照水力发电均衡规定和房屋建筑内供暖系统的调整方法,挑选水力发电平衡器;
4 除好几个供热入口处设定一块同用热计量表的情形外,每一个供热入口均应设定热计量表,且热量表宜建在回水管上。
5.9.4 采暖主干管和立管等管路(没有房屋建筑的供暖系统供热通道)上闸阀的设定应满足以下要求:
1 供暖系统的各并接环城路,应设定关掉和调整设备;
2 当有冻洁风险时,立管或管道上的闸阀至主干管的间距不宜超过120mm;
3 供电立管的首端和智能回水立管的尾端均应设定闸阀,智能回水立管上还应设定污水处理、排水设备;
4 同用立管单独立户单独循环系统供暖系统,应在联接同用立管的进户供、智能回水立管上设定关掉阀。
5.9.5 当供热管道运用当然赔偿不可以满足需要时,应设定管道补偿器。
5.9.6 供暖系统水准管线的铺设应该有一定的倾斜度,坡度应有益于放气和排水。供智能回水支、主干管的倾斜度宜选用0.003,不可低于0.002;立管与热管散热器联接的立管,倾斜度不能低于0.01;当受标准限定,供智能回水干管(包含水准多管串连系统软件的热管散热器联接管)没法维持必需的倾斜度时,部分可无坡铺设,但该管路内的水流动速度不可低于0.25m/s;针对碳酸饮料反向流动性的蒸汽管道,倾斜度不能低于0.005。
5.9.7 穿越重生房屋建筑基本、变形缝、沉降缝、防震缝的供热管道,及其铺设在建筑构造里的立管,应采用防止房屋建筑下移而毁坏管路的对策。
5.9.8 当供热管道务必穿越重生服务器防火墙时,应预埋件钢套管,并在过墙处一侧设定支撑架,管路与线管中间的间隙应运用耐火保温材料堵漏。
5.9.9 供热管道不可与运输蒸气着火点小于或相当于120℃的易燃液态或易燃、腐蚀空气的管路在同一条沟槽开挖内平行面或交叉式铺设。
5.9.10 合乎以下情形之一时,棚里供热管道应隔热保温:
1 管路内运输的热煤务必保证一定主要参数;
2 管路铺设在沟槽开挖、管道井、技术性隔层、隔楼及顶篷内等造成无利热损耗过大的区域内或易被锁定的地区;
3 管路根据的棚间或地址规定隔热保温。
5.9.11 棚里开水供暖系统的制定应开展水力发电均衡测算,并应采取一定的有效措施使设计方案工作状况时各并接环城路中间(不包括同用段)的的压力损害相对性差值不得超过15%.
5.9.12 棚里供暖系统总工作压力应满足以下要求:
1 不可超过棚外供热网给出的资用气体压力;
2 应达到棚里供暖系统水力发电均衡的规定;
3 供暖系统总的压力损害的增加值宜取10%。
5.9.13 棚里供暖系统管路中的热煤流动速度,应依据系统的水力发电均衡规定及防噪音规定等要素明确,较大流动速度不适合超出表5.9.13的限制值。
5.9.14 开水竖直多管供暖系统和竖直分层次布局的水准多管串连跳跃性供暖系统,解决开水在热管散热器和管线中制冷而形成当然功效工作压力的危害采取有效的技术措施。
5.9.15 供暖系统供电、供汽主干管的尾端和智能回水干管始端管经不可低于DN20,低电压蒸气的供汽主干管可恰当变大。
5.9.16 静态数据水力发电静态平衡阀或自力式调压阀的规格型号应按热煤设计方案总流量、压力及闸阀容许损耗等主要参数经测算明确;其组装部位应确保闸阀前后左右有充足的接管段,沒有尤其表明的情形下,闸阀前接管段距离不可低于5倍管经,闸阀后接管段距离不可低于2倍管经。
5.9.17 蒸气供暖系统,当供汽工作压力高过棚里供暖系统的压力时,应在供暖系统通道的供汽管上安置缓解压力设备。
5.9.18 髙压蒸气供暖系统最不好环城路的供汽管,其工作压力损害不宜超过开始工作压力的25%。
5.9.19 蒸气供暖系统的冷凝水回收利用方法,应依据二次蒸气使用的概率及其棚外地貌、管路敷设方式等状况,各自选用下列智能回水方法:
1 闭试满管智能回水;
2 开启式储水箱自动流出或机械设备智能回水;
3 余压回水。
5.9.20 髙压蒸气供暖系统,疏水阀前的冷凝水管不可往上上升;疏水阀后的冷凝水管往上上升的相对高度应经测算明确。当疏水阀自身无止回作用时,应在疏水阀后的冷凝水管上设定逆止阀。
5.9.21 疏水阀至回储水箱或二次挥发箱中间的蒸气冷凝水管,应按碳酸饮料乳头状体开展测算。
5.9.22 开水和蒸气供暖系统,应依据不一样状况,设定排气管、排水、污水处理和亲水性设备。
5.10 集中化供暖系统供热计量与棚温管控
5.10.1 集中供热的新创建工程建筑和不仅有节能建筑更新改造务必设定发热量计量检定设备,并具有棚温管控作用。用以发热量清算的发热量计量检定设备务必选用热计量表。
5.10.2 发热量计量检定设备设定及供热计量更新改造应满足以下要求:
1 热原和换热机棚需设发热量计量检定设备;定居工程建筑应以楼幢为目标设定热计量表。对建筑结构类型同样、基本建设时代相仿、排架结构作法同样、用户热分摊方式一致的多个栋建筑,也可安装一个共用的热量表;
2 当发热量清算点为楼幢或是换热机棚设定的热量表时,单独立户供热计量应采用用户热分摊的方式明确。在同一个发热量清算点内,用户热分摊方式应统一,仪表盘的类别和型号规格应一致;
3 当发热量清算点为每一户安裝的户用热量表时,可立即开展单独立户供热计量;
4 供热系统开展供热计量更新改造时,解决系统软件的水力发电工作状况开展强度校核。当供热通道资用压力差不可以达到不仅有供热系统规定时,应采用提升管道网循环水泵扬程或加设部分加压水泵等赔偿对策,以达到棚里系统软件资用压力差的必须。
5.10.3 用以发热量清算的热量表的选用和安装应满足以下要求:
1 热量表应依据公称直径总流量型号选择,并强度校核在系统开发总流量下的损耗。公称直径总流量可按设计方案总流量的80%明确;
2 热量表的egr的安裝部位应合乎仪表盘安装使用规定,且宜安裝在回水管上。
5.10.4 新创建和扩建工程热管散热器棚里供热系统,应设定热管散热器控温调压阀或别的全自动溫度调压阀开展棚温管控。热管散热器控温调压阀的采用和安装应满足以下要求:
1 当棚里供热系统为竖直或水准多管系统软件时,应在每一组热管散热器的供电管道上安裝高阻控温调压阀;超出5层的竖直多管系统软件宜选用有预置摩擦阻力调整作用的控温调压阀;
2 多管跳跃性系统软件应选用低摩擦阻力两通控温调压阀或三通控温调压阀;
3 当热管散热器有罩时,应选用温包内置式控温调压阀;
4 控温调压阀应具备产品合格证书、使用手册和质量检验单位开具的性能指标汇报,其调整功能等指标值应满足现行标准国家标准《散热器恒温控制阀》JG/T 195的相关规定。
5.10.5 超低温开水地面辐射供热系统应具备棚温操纵作用;棚温控制板宜建在被温度控制的棚间或棚域内;全自动调压阀宜选用热电厂式调压阀或自力式控温调压阀。全自动调压阀的设定可选用分环城路操纵和整体操纵二种方式,并应满足以下要求:
1 选用分环城路操纵时,应在地暖分水器或分集水器处,分开设定全自动调压阀,操纵棚间或棚域维持分别的设置溫度值。全自动调压阀也可内放置分集水器中;
2 选用整体操纵时,应在地暖分水器总供水管道或分集水器回水管上设定一个全自动调压阀,操纵全部用户或棚域的棚里溫度。
5.10.6 供热计量供热系统应融入棚温管控的规定;当棚里供热系统为变总流量系统软件时,不可设自力式流量控制阀,是不是设定自力式压力差调压阀应经过测算供热通道的压力差变化幅度明确。
7空调系统
7.1 一般要求
7.1.1 合乎以下情况之一时,应设定空调系统:
1 采用采暖通风达不上人体舒适、机器设备等对棚里自然环境的规定,或标准不允许、不经济发展时;
2 采用采暖通风达不上加工工艺对棚里溫度、环境湿度、洁净度等级等规定时;
3 对提高效率和经济收益有明显功效时;
4 对身心健康有益,或对推动恢复有成效时。
7.1.2 空调棚宜集中化布置。作用、温湿度数量、应用规定等相仿的空调棚宜邻近布置。
7.1.3 工艺性能空调在达到空调棚自然环境标准的前提下,宜降低空调棚的范围和排热、散湿机器设备。
7.1.4 采用可逆性空调能达到空调棚自然环境规定时,不可采用全棚性空调。又高又大室内空间仅规定下边棚域维持一定的温湿度时,宜采用分层次空调。
7.1.5 空调棚里的气体压力,应符合以下规定:
1 舒适度空调,空调棚与棚外或空调棚中间有压力差规定时,其压误差宜取5Pa~1OPa,较大不可高于30Pa;
2 工艺性能空调,应按空调棚自然环境规定明确。
7.1.6 舒适度空调棚工程建筑隔热,应依据房屋建筑特性和所在的工程建筑气侯分棚设计方案,并符合我国现行标准电气设计规范的相关要求。
7.1.7 工艺性能空调棚排架结构导热系数,应符合我国现行标准电气设计规范的相关要求,并不可超过表7.1.7中的标准值。
7.1.8 工艺性能空调棚,当棚温起伏范畴小于或等于±0.5℃时,其排架结构的传热系数指标值,不可低于表7.1.8的要求。
7.1.9 工艺性能空调棚的墙体、外墙房屋朝向以及所属层级,应满足表7.1.9的规定。
注:1 棚温容许变化范畴小于或等于±0.5℃的空调棚,宜布置在棚温容许变化区域很大的空调棚当中,当布置在单面房屋建筑内时,宜设自然通风房顶;
2 此条与本标准第7.1.10条要求的“朝北”,适用北纬23.5°往北的地棚;北纬23.5°以及南面的地棚,可应当地采用坐北朝南。
7.1.10 工艺性能空调棚的窗扇,应满足以下要求:
1 棚温起伏范畴高于或等于±1.O℃时,窗扇宜安装在朝北;
2 棚温起伏范畴低于±1.O℃时,不应该有东向西窗扇;
3 棚温起伏范畴低于±0.5℃时,不适合有窗扇,若有窗扇应设定在朝北。
7.1.11 工艺性能空调棚的门和门斗,应满足表7.1.11的规定。舒适度空调棚打开经常的内门,宜设门斗、自动感应门或弹簧门等,必需时须设定空气幕。
7.1.12 以下状况,宜对空调系统软件开展全年度耗能数值模拟:
1 对空调系统软件方案设计开展数据分析和提升时;
2 对空调系统软件节能环保对策开展分析时。
7.2 空调负载测算
7.2.1除在方案或前期设计环节可应用热、冷负载指标值开展需要的估计外,施工图环节解决空调棚的冬天供热量和夏天逐时冷负载开展测算。
7.2.2 空调棚的夏天测算得发热量,应依据以下各类明确:
1 根据排架结构传到的发热量;
2 根据全透明排架结构进到的太阳辐射量发热量;
3 身体制热量;
4 照明灯具制热量;
5 机器设备、器材、管路以及其他内部结构供热系统的制热量;
6 食品类或原材料的制热量;
7 渗入气体带到的发热量;
8 随着各种各样散湿全过程形成的潜发热量。
7.2.3 空调棚的夏日冷负载,应依据各类得发热量的类型、特性及其空调棚的储热特点,各自开展测算。
7.2.4 空调棚的以下各类得发热量,应按非稳定方式测算其产生的夏日冷负载,不可将其逐正值立即做为各相匹配时时刻刻的逐时冷负载值:
1 根据排架结构传到的非稳定传发热量;
2 根据全透明排架结构进到的太阳辐射量发热量;
3 身体制热量;
4 非24小时应用的机器设备、照明设备制热量等。
7.2.5 中央空调棚的以下各类得发热量,可按稳定方式测算其产生的夏日冷负载:
1 棚温容许变化范畴大于或等于±1℃的中央空调棚,根据非轻形墙体传到的传发热量;
2 中央空调棚与邻棚的夏天温度差超过3℃时,根据隔断墙、混凝土楼板等内排架结构传到的传发热量;
3 人员密集中央空调棚的身体制热量;
4 24小时应用的机器设备、照明设备制热量等。
7.2.6 中央空调棚的夏日冷负载测算,应满足以下要求:
1 舒适性空调并不测算路面热传导产生的冷负载;工艺性能中央空调有墙体时,宜测算距墙体2m范畴内的路面热传导产生的冷负载;
2 测算身体、照明灯具和机器设备等排热产生的冷负载时,应考虑到工作人员集群指数、与此同时应用指数、机器设备输出功率指数和自然通风隔热保温指数等;
3 房顶处在中央空调棚以外时,只测算房顶进到中央空调棚的辐射源一部分产生的冷负载;又高又大室内空间选用分层次中央空调时,空调棚的逐时冷负载可按全棚性中央空调测算的逐时冷负载乘于少于1的常数明确。
7.2.7 中央空调棚的夏日冷负载宜选用计算软件开展测算;选用简单化计算方式时,按非稳定方式测算的各类逐时冷负载,宜按以下方式测算。
1 根据排架结构传到的非稳定热传导产生的逐时冷负载,按式(7.2.7-1)~式(7.2.7-3)测算:
CLwq=KF(tw1q―tn) (7.2.7-1)
CLwm=KF(tw1m―tn) (7.2.7-2)
CLwc=KF(tw1c―tn) (7.2.7-3)
式中:CLwq――墙体热传导产生的逐时冷负载(W);
CLwm――平屋面热传导产生的逐时冷负载(W);
CLwc――窗扇热传导产生的逐时冷负载(W);
K――墙体、平屋面或外窗导热系数[W/(┫.K)]F――墙体的逐时冷负载测算溫度(℃),可按本标准附则H明确;
tw1q――墙体的逐时冷负载测算溫度(℃),可按本标准附则H明确。
tw1m――平屋面的逐时冷负载测算溫度(℃),可按本标准附则H明确;
tn――夏天中央空调棚设计方案溫度(℃)。
2 通过窗户进到的太阳辐射量得热产生的逐时冷负载,按式(7.2.7-4)测算:
式中:CLc――通过窗户进到的太阳辐射量得热产生的逐时冷负载(w);
Ccl――通过无遮光规范夹层玻璃太阳辐射量冷负载指数,可按本标准附则H明确;
Cz――窗扇综合性挡住指数;
Cw――外遮阳修正系数;
Cn――内遮光修正系数;
Cs――夹层玻璃修正系数;
Djmax――夏天日射得热因素最高值,可按本标准附则H明确;
Fc――玻璃窗净总面积(┫)
3 身体、照明灯具和机器设备等排热产生的逐时冷负载,各自按式(7.2.7-6)~式(7.2.7-8)测算:
式中:CLrt――身体排热产生的逐时冷负载(W);
Cclrt――身体冷负载指数,可按本规范附录H明确;
Ф――集群指数;
Qrt――身体制热量(W);
CLzm――照明灯具修正系数;
Cclzm――照明冷负载指数,可按本规范附录H明确;
Czm――照明灯具修正系数;
CLsb――机器设备排热产生的逐时冷负载(W);
Cclsb――机器设备冷负载指数,可按本规范附录H明确;
Csb――机器设备修正系数;
Qsb――设备制热量(W).
7.2.8 按稳定方式测算的中央空调棚夏天冷负载,宜按以下方式测算。
1 棚温容许变化范畴大于或等于±1. 0℃的中央空调棚,其非轻形墙体热传导产生的冷负载,可类似按式(7.2.8-1)测算:
式中:tzp――夏天中央空调棚外测算日均值综合性溫度(℃);
twp――夏天中央空调棚外测算日气温(℃),按本规范第4.1.10条的要求明确;
Jp――排架结构所属房屋朝向阳光总辐射源光照强度的日均值(W/┫);
αw――排架结构外表层传热指数[W/(┫.K)]
2 中央空调棚与邻棚的夏天温度差超过3℃时,其根据隔断墙、混凝土楼板等内排架结构热传导产生的冷负载可按式(7.2.8-3)测算:
式中:CLwn――内排架结构热传导产生的冷负载(W);
△tls――邻棚测算气温与夏天中央空调棚外测算日气温的误差(℃)。
7.2.9 中央空调棚的夏天测算散湿量,应考虑到散湿源的类型、工作人员集群指数、与此同时应用指数及其自然通风指数等,并依据以下各类明确:
1 身体散湿量;
2 渗入气体带到的湿量;
3 化学变化全过程的散湿量;
4 非排架结构各种各样湿冷表层、液位或流液的散湿量;
5 食品类或汽体原材料的散湿量;
6 机器设备散湿量;
7 排架结构散湿量。
7.2.10 中央空调棚的夏日冷负载,应按中央空调棚各类逐时冷负载的综合性最高值明确。
7.2.11 空调机组的夏日冷负载,应按以下要求明确:
1 尾端机器设备配有溫度自动控制系统设备时,空调机组的夏日冷负载按所服务项目各中央空调棚逐时冷负载的综合性最高值明确;
2 尾端机器设备无溫度自动控制系统设备时,空调机组的夏日冷负载按所服务项目各中央空调棚冷负载的合计值明确;
3 应记入新风系统冷负载、再供热量及其各类相关的额外冷负载。
4 应考虑到所服务项目各中央空调棚的一起应用指数。
7.2.12 空调机组的夏天额外冷负载,宜按以下各类明确:
1 气体根据离心风机、风道升温造成的额外冷负载;
2 凉水根据离心水泵、管路、储水箱升温造成的额外冷负载。
7.2.13 中央空调棚的冬天供热量,宜按本规范第5.2节的要求测算;计算时,棚外测算溫度应选用冬天中央空调棚外测算溫度,并扣减棚里机器设备等产生的平稳制热量。
7.2.14 空调机组的冬天供热量,应按所服务项目各中央空调棚供热量的合计值明确,除空调风管部分布局在棚外自然环境的情形外,并不记入各类额外供热量。
7.3 空调系统
7.3.1 选择空调系统时,应符合以下原则:
1 依据建筑的主要用途、经营规模、应用特性、负载转变状况、主要参数规定、所在城市棚气象要素和电力能源情况,及其机器设备价钱、电力能源预估价钱等,经工程经济较为明确;
2 作用繁杂、经营规模很大的商业建筑,宜开展计划方案比照并提升明确;
3 干热气候棚应充分考虑其气候特征的危害。
7.3.2 符合以下情形之一的中央空调棚,宜各自设定中央空调风系统软件;必须共用时,解决规范规定高的中央空调棚做解决。
1 使用时间不一样;
2 温湿度记录数量和容许变化范畴不一样;
3 气体洁净度等级规范规定不一样;
4 噪声标准规定不一样,及其有消音规定和造成噪音的中央空调棚;
5 必须与此同时供暖和制冷的中央空调棚。
7.3.3 空气中带有易燃易爆物品或有害有害物的中央空调棚,应独立设置空调风系统软件。
7.3.4 以下中央空调棚,宜选用全气体定排风量空调系统:
1 室内空间比较大、工作人员较多;
2 温湿度记录容许变化范畴小;
3 噪音或洁净度等级规范高。
7.3.5 全气体空调系统设计方案,应符合以下要求:
1 宜选用单风道系统软件;
2 容许选用比较大排风温度差时,应选用一次送风式系统软件;
3 排风温度差较小、空气湿度规定不严苛时,可选用二次送风式系统软件;
4 除温湿度记录起伏范畴规定严苛的中央空调棚外,同一个气体解决操作系统中,不应该有与此同时加温和制冷全过程。
7.3.6 符合以下情形之一时,全气体空调系统应设回离心风机。设定回离心风机时,新风井混和棚的气体压力应是负压力。
1 不一样时节的排风量转变比较大、别的排风系统对策不可以融入排风量的转变规定;
2 送风系统软件摩擦阻力比较大,设定回离心风机经济发展有效。
7.3.7 中央空调棚容许温湿度记录起伏范畴或噪声标准规定严谨时,不适合选用全气体空气处理机组空调系统。工程经济标准容许时,以下状况可选用全气体空气处理机组空调系统:
1 服务项目于单独中央空调棚,且一部分负载运作時间较长时,选用棚域空气处理机组空调系统;
2 服务项目于好几个中央空调棚,且各棚负载转变相距大、一部分负载运作時间较长并规定溫度单独操纵时,选用带终端设备的空气处理机组空调系统。
7.3.8 全气体空气处理机组空调系统设计方案,应符合以下要求:
1 应依据建筑分类、负载转变状况等对中央空调棚开展区划;
2 系统软件方式,应依据所服务项目中央空调棚的区划、使用时间、负载转变状况等,经工程经济较为明确;
3 空气处理机组尾端设备,宜采用工作压力不相干型;
4 中央空调棚和系统软件的较大送排风量。应依据中央空调棚和系统软件的夏日冷负载明确;中央空调棚的最少送排风量,应按照负载转变状况、自然通风等明确;
5 应采用确保最少排风量规定的对策;
6 离心风机应选用调速调整;
7 正压送风口应符合本标准第7.4.2条的规范规定。
7.3.9 中央空调棚较多,建筑层高较低且各棚溫度规定单独操纵时,宜选用盘管风机加新风系统空调系统;中央空调棚的空气质量指数、温湿度记录起伏范畴规定严苛或空气中带有较多厨房油烟时,不适合使用盘管风机加新风系统空调系统。
7.3.10 盘管风机加新风系统空调系统设计方案,应符合以下要求:
1 新风系统宜立即送进工作人员主题活动棚;
2 空气质量标准规定较高时,新风系统宜压力中央空调棚的所有散湿量。超低温家用新风系统设计方案,应符合本标准第7.3.13条的规范规定;
3 宜采用出入口余放低的盘管风机发电机组。
7.3.11 中央空调棚里震动比较大、油渍蒸气较多及其造成无线电波或高频率波等场地,不适合选用多联机空调空调系统。多联机空调系统设计方案,应符合以下规定:
1 中央空调棚负载特点相距比较大时,宜各自设定多联机空调空调系统:必须与此同时制冷和供暖时,宜设定余热回收型多联机空调空调系统;
2 棚里、室外机中间及其棚里机两者之间的较大长度和较大坡度,应符合商品技术标准;
3 系统软件冷媒管等效电路长短应达到相匹配致冷工作状况下超负荷的功能指数不低于2.8;当商品技术文档不能满足计算规定时,系统软件冷媒管等效电路长短不适合超出70m;
4 棚外机变频式机器设备,应与别的变频式机器设备维持有效间距。
7.3.12 有超低温氟利昂可运用时,宜选用超低温排风空调机组;相对湿度或送排风量比较大的中央空调棚,不适合选用超低温排风空调机组。
7.3.13 超低温排风空调机组设计方案,应满足以下要求:
1 空气冷却器的进风口溫度与氟利昂的進口溫度间的温度不可以低于3℃,进风口溫度宜选用4℃~10℃,立即胀大式冷凝器进风口溫度不可小于7℃;
2 中央空调棚排风溫度,应测算通风机、风道及其排风尾端设备的升温;
3 新风机组的型号选择,应经工程经济较为明确。空气冷却器的迎雨面风力宜选用1. 5m/s~2.3m/s,氟利昂根据空气冷却器的升温宜选用9℃~13℃;
4 排风尾端设备,应合乎本标准第7.4.2条的要求;
5 新风机组、风道及配件、排风尾端设备等应严实隔冷,保冷层薄厚应经测算明确,并合乎本标准第11. 1.4条的要求。
7.3.14 中央空调棚散湿量较小且工程经济有效时,宜选用温湿度记录单独操纵空调机组。
7.3.15 温湿度单独操纵空调机组设计方案,应满足以下要求:
1 自动控制系统,尾端机器设备应压力中央空调棚的所有显热负荷,并依据中央空调棚的热湿热原遍布情况等,经工程经济较为明确;
2 环境湿度自动控制系统,新风系统应压力中央空调棚的所有散湿量,其处理方法应依据夏天中央空调棚外测算湿度和含湿量、新风系统排风状况点规定等,经工程经济较为明确;
3 当选用制冷去湿解决新风系统时,新风再热不可选用开水、电加热器等;选用转轴或饱和溶液去湿解决新风系统时,转轴或饱和溶液再造不可选用电加热器;
4 解决棚里气体的含湿量开展检测,并实行保证终端机器设备表层不冷凝水的自动控制系统对策。
7.3.16 夏天中央空调棚外设计方案含湿量较低的地棚,经工程经济较为有效时,宜选用空气冷却空调机组。
7.3.17 空气冷却空调机组设计方案,应满足以下要求:
1 空调机组方式,应依据夏天中央空调棚外测算湿度和含湿量及其中央空调棚显热负荷、散湿量等明确;
2 全气体空气冷却空调机组,应依据夏天中央空调棚外测算湿度、中央空调棚散湿量和排风状况点规定等,经工程经济较为明确。
7.3.18 以下状况时,应选用直流电式(全新风系统)空调机组:
1 夏天空调机组的棚里气体比焓超过棚外气体比焓;
2 系统软件所业务的各中央空调棚排风量超过按负载测算出的送排风量;
3 棚里释放有害有害物,及其防火安全防爆型等规定不允许气体循环系统应用;
4 环境卫生或加工工艺规定选用直流电式(全新风系统)空调机组。
7.3.19 中央空调棚、空调机组的排风量测算,应满足以下要求:
1 工作人员所需排风量,应依据员工的行动和工作内容,及其在棚里的停留的时间等明确,并合乎本标准第3.0.6条的规范规定;
2 中央空调棚的排风量,应按不小于工作人员所需排风量,赔偿排风系统和维持中央空调棚气体压力所需排风量之和及其新风系统去湿所需排风量中的最高值明确;
3 全气体空调机组的排风量,当服务程序于数个不一样新风系统比的中央空调棚时,系统软件新风系统比应低于中央空调棚新风系统比中的最高值;
4 家用新风系统的排风量,宜按所服务项目中央空调棚或体系的排风量总计值明确。
7.3.20 舒适性空调和情况可以的工艺性能中央空调,可以用新风系统作冷源时,应最大限度地应用新风系统。
7.3.21 新风进气口的范围应融入较大排风量的必须。进气口处要安置能严实关掉的闸阀,进气口的部位应合乎本标准第6.3.1条的规范规定。
7.3.22 空调机组应开展排风量均衡测算,中央空调棚里的气体压力应合乎本标准第7.1.5条的要求。工作人员密集且密封性不错,或衔接时节应用很多新鲜空气的中央空调棚,应设定机械设备排风系统设备,排风量应融入排风量的转变。
7.3.23 配有集中化排风系统的空调机组,且工程经济有效时,宜设定气体―空气动能回收利用设备。
7.3.24 气体动能回收利用系统开发,应满足以下规定:
1 动能回收利用设备的种类,应依据解决排风量、新排风系统中显发热量和潜热量的组成及其排风系统中污染物质类型等挑选;
2 动能回收利用设备的测算,应考虑到积灰的危害,并对是不是起霜或冷凝水开展计算。
7.4 自然通风
7.4.1 中央空调棚的自然通风设计方案,应依据中央空调棚的温度湿度主要参数、容许风力、噪声标准、空气质量指数、温度场及其气体分散特点指标值(ADPI)等规定,融合内部结构室内装修、加工工艺或家俱摆放等明确;繁杂室内空间中央空调棚的自然通风设计方案,宜选用测算流体力学(CFD)有限元分析测算。
7.4.2 中央空调棚的通风方法及正压送风口型号选择,应满足以下要求:
1 宜采用百叶窗、条缝型等出风口贴附侧送;当侧送气流有阻碍或企业总面积送排风量比较大,且工作人员主题活动棚的风力规定严谨时,不应采用侧送;
2 配有装修吊顶时,应依据中央空调棚的相对高度及对气流的规定,采用散流器或填料排风。当企业总面积送排风量比较大,且工作人员主题活动棚里的风力或棚域温度差规定较钟头,应采用填料排风;
3 又高又大室内空间宜采用喷口排风、旋流风口送风或下边排风;
4 空气处理机组尾端设备,应确保在排风量更改时,气流机构达到中央空调棚自然环境的主要规定;
5 正压送风口外表温度应高过棚里含湿量;小于棚里含湿量时,应采用超低温出风口。
7.4.3 采用贴附侧排风时,应满足以下要求:
1 正压送风口外缘与顶篷的间距比较大时,正压送风口应设定向上倾斜10°~20°的引流片;
2 正压送风口内宜设定避免 水射流倾斜的引流片;
3 水射流步骤中应无阻拦物。
7.4.4 采用填料排风时,应满足以下要求:
1 填料上端稳压管层的相对高度应按估算明确,且层高不应低于0.2m;
2 向稳压管层内送风的速度宜采用3 m/s~5m/s。除排风水射流较长的之外,稳压管层内并不设排风遍布立管。稳压管层的正压送风口处,宜设避免 排风气流立即吹向填料的引流片或隔板;
3 填料布局应与部分热原遍布相一致。
7.4.5 采用喷口排风时,应满足以下要求:
1 工作人员主题活动棚宜坐落于流回棚;
2 喷口安裝相对高度,应依据中央空调棚的相对高度和流回棚遍布等明确;
3 兼作暖风采暖时,宜具备更改水射流出入口视角的作用。
7.4.6 采用散流器排风时,应符合以下规定:
1 出风口布局应有益于排风气流对周边气体的诱发,出风口核心与导墙的间距不能低于1.0m;
2 采用平送方法时,贴附水射流棚无阻拦物;
3 兼作暖风采暖,且出风口安裝相对高度较高时,宜具备更改水射流出入口视角的作用。
7.4.7 采用换置自然通风时,应满足以下要求:
1 棚间层高宜超过2.7m;
2 排风溫度不能小于18℃;
3 中央空调棚的企业总面积冷负载不适合超过120W/┫;
4 污染物宜为热原,且环境污染气体密度较小;
5 棚里工作人员主题活动棚0. 1m至1.1m相对高度的气体竖直温度差不适合超过3℃;
6 中央空调棚里不适合有别的气流机构。
7.4.8 采用木地板排风时,应满足以下要求:
1 排风溫度不能小于16℃;
2 热分层次相对高度应在工作人员主题活动棚上边;
3 静压箱应维持密闭式,和非中央空调棚中间有隔热保温解决;
4 中央空调棚里不适合有别的气流机构。
7.4.9 分层次中央空调的气流施工部署,应满足以下要求:
1 中央空调棚宜采用双侧排风;当中央空调棚跨距较钟头,可采用一侧排风,且回风管道宜布局在正压送风口的同方向下边;
2 侧送多芯平行面水射流应相互之间钢筋搭接;采用双侧对送水射流时,其有效射程可按相对性喷嘴中点间距的90%测算;
3 宜降低非中央空调棚向空调棚的热迁移;必需时,宜在非中央空调棚设定送、排风系统设备。
7.4.10 上排风形式的夏天排风温度差,应依据正压送风口种类、安裝相对高度、气流有效射程长短和是不是贴附等明确,并宜合乎以下要求:
1 在达到舒服、加工工艺规定的前提下,宜增加排风温度差;
2 舒适性空调,宜按表7.4.10-1采用;
3 工艺性能中央空调,宜按表7.4. 10-2采用。
7.4.11 正压送风口的出入口风力,应依据排风方法、正压送风口种类、安裝相对高度、中央空调棚容许风力和噪声标准等明确。
7.4.12 回风口的布置,应符合以下要求:
1 不可建在排风水射流棚里和工作人员长期性滞留的地址;选用侧送时,宜建在正压送风口的同方向下边;
2 兼做暖风采暖、棚间层高较高时,宜建在棚间的下边;
3 标准容许时,宜采取集中化送风或过道送风,但过道的横断面风力不适合过大;
4 选用换置自然通风、木地板排风时,应设置在工作人员主题活动棚的上边。
7.4.13 回风口的进风速率,宜按表7.4.13采用。
7.5 气体解决
7.5.1 气体的制冷应依据不一样标准和规定,各自选用以下处理方法:
1 冷却循环水空气冷却;
2 河水、湖泊、地表水等纯天然冷源制冷;
3 选用空气冷却和纯天然冷源等制冷方法达不上规定时,应选用人力冷源制冷。
7.5.2 凡与被空气冷却直接接触的水体均应符合卫生要求。蒸发冷却选用纯天然冷源时,应符合以下要求:
1 水的溫度、强度等符合应用规定;
2 地面水应用之后的智能回水给予再运用;
3 应用之后的地表水应所有地热井到同一裂隙水,并不可导致环境污染。
7.5.3 蒸发冷却设备的挑选,应符合以下要求:
1 选用冷却循环水空气冷却或纯天然冷源时,宜选用立即挥发式制冷设备、间接性挥发式制冷设备和空气冷却器;
2 选用人力冷源时,宜选用空气冷却器。当规定运用污水开展隔热增湿或运用洒水提升气体解决后的对比度时,可采用带洒水设备的空气冷却器。
7.5.4 空气冷却器的挑选,应符合以下要求:
1 气体与氟利昂应反向流动性;
2 氟利昂的進口溫度,应该比气体的出入口干球温度最少低3.5℃。氟利昂的升温宜选用5℃~10℃,其流动速度宜选用0.6m/s~1.5m/s;
3 迎雨面的空气质量指数流动速度宜选用2.5 kg/(┫?s)~3.5kg/(┫?s),当迎雨面的空气质量指数流动速度超过3.Okg/(┫?s)时,应在冷却塔后设定档板;
4 超低温排风空调机组的空气冷却器,应符合本标准第7.3.13条的规范规定。
7.5.5 冷媒立即胀大式空气冷却器的挥发溫度,应该比气体的出入口干球温度最少低3.5℃。常温下空调机组超负荷运作时,挥发溫度不能小于O℃;低负载运转时,应避免 空气冷却器表层起霜。
7.5.6 空调机组不可选用氨作冷媒的立即胀大式空气冷却器。
7.5.7 空气加热器的挑选,应符合以下要求:
1 加温气体的热煤宜选用开水;
2 工艺性能中央空调,当棚温容许变化范畴低于±1. O℃时,排风尾端的电加热器宜选用电加热装置;
3 开水的供电溫度及供智能回水温度差,应符合本标准第8.5.1条的要求。
7.5.8 两管控水系统软件,当冬夏天中央空调负载相距比较大时,应分別测算冷、热风机盘管的传热总面积;当二者传热总面积差距非常大时,宜各自设定冷、热风机盘管。
7.5.9 空调机组的新风系统和送风应经过虑解决。空气过滤网的设定,应符合以下要求:
1 舒适性空调,当选用初效过滤器不可以满足需要时,应设定中效过滤器;
2 工艺性能中央空调,应按空调棚的洁净度等级规定设定过滤装置;
3 空气过滤网的摩擦阻力应按终阻力测算;
4 宜设定过滤装置摩擦阻力检测、警报系统,并应具有拆换标准。
7.5.10 针对人员密集中央空调棚或空气质量指数规定较高的场地,其全气体空调机组宜设定空气过滤设备。空气过滤设备的种类,应依据工作人员相对密度、初项目投资、运作成本及中央空调棚自然环境规定等,经工程经济较为明确,并符合以下要求:
1 空气过滤设备种类的选用应依据空凋棚污染物质特性挑选;
2 空气过滤设备的指标值应符合现行标准有关规范。
7.5.11 空气过滤设备的设定应符合以下要求:
1 空气过滤设备在空气过滤处理方式中不可造成新的环境污染;
2 空气过滤设备宜安装在气体热湿处理设备的进气口处,净化处理规定高时可在通风口处设定二级净化处理设备;
3 应安装检查口;
4 宜具有净化处理无效報警作用;
5 髙压静电感应空气过滤设备应设定与离心风机合理连动的对策。
7.5.12 冬天中央空调棚环境湿度有规定时,宜设定增湿设备。增湿设备的种类,应依据增湿量、空气湿度容许变化范畴规定等,经工程经济较为明确,并应满足以下要求:
1 有蒸气源时,宜选用干蒸汽加湿器;
2 无蒸气源,且中央空调棚环境湿度精度规定严谨时,宜选用电空气加湿器;
3 环境湿度规定不高时,可选用髙压喷雾器或湿膜等隔热空气加湿器;
4 增湿设备的供电水体应卫生指标规定。
7.5.13 新风机组宜安裝在空调棚里。空调棚应满足以下要求:
1 相邻所业务的中央空调棚;
2 机棚总面积和层高应依据发电机组规格明确,并确保风道的安裝区域及其合理的发电机组实际操作、维修室内空间;
3 机棚里应考虑到排水管道和地面防水设备。
9检测与监管
9.1 一般要求
9.1.1 采暖、自然通风与空调系统应设定检测与监控设备或系统软件,并应符合以下要求:
1 检测与监管內容可包含主要参数检测、参数与机器设备情况表明、自动调节与操纵、工作状况全自动变换、机器设备连锁加盟与全自动维护、动能计量检定及其中间监管与管理等。主要内容和方法应依据建筑的基本功能与规定、系统软件种类、机器设备运转的时间及其加工工艺对监管的需要等要素,根据工程经济较为明确;
2 系统软件经营规模大,制冷机器设备数量多且密切相关各一部分距离较远时,应选用集中监控系统软件;
3 不具有选用集中监控系统软件的采暖、自然通风与空调系统,宜选用就地控制系统或系统软件。
9.1.2 采暖、自然通风与空调系统的主要参数检测应符合以下要求:
1 体现机器设备和管路体系在起停、运作及安全事故处理方式中的安全可靠和经济形势的主要参数,应开展检测;
2 用以设施和系统软件关键特性测算和经济运行分析所需求的主要参数,宜开展检测;
3 检测仪表盘的选取和安装应与警报、自动控制系统和电子计算机监控等內容充分考虑,不适合反复设定,就地检测仪表盘应建在有利于观测的地址。
9.1.3 选用集中监控控制系统的机电设备,需设就地手动式操纵设备,并根据远程控制/就地切换开关完成长距离与就地手动式操纵中间的变换;远程控制/就地切换开关的情况应是监控系统的检测主要参数之一。
9.1.4 采暖、自然通风与空凋机器设备设定连动、连锁加盟等保障措施时,应符合以下要求:
1 当选用集中监控系统软件时,连动、连锁加盟等保障措施应由集中监控系统软件完成;
2 当选用就地控制系统时,连动、连锁加盟等保障措施,应是自动化控制系統的一部分或独立设置;
3 当无集中监控或就地控制系统时,应设定专业连动、连锁加盟等保障措施。
9.1.5 加热炉棚、换热机棚和制冷机组棚的动能计量检定应符合以下要求:
1 应计量检定然料的使用量;
2 应计量检定用电量;
3 应计量检定集中供暖系统软件的供热量;
4 应计量检定补水流量;
5 应计量检定集中化空调系统冷源的制冷量;
6 循环泵用电量宜独立计量检定。
9.1.6 中央级监管智能管理系统应符合以下要求:
1 理应能以与当场检测仪表同样的间隔时间与测量精度持续纪录,表明各系统软件运作主要参数和机器设备情况。其存储介质和数据库查询应能确保纪录持续一年以上的运转主要参数;
2 应能测算和按时统计系统的基础代谢、各台机器设备持续和总计运转時间;
3 应能更改各控制板的额定值,并且能够对设定为“远程控制”情况的机器设备立即开展启、停和调整;
4 应依据设定的时刻表,或根据环保节能管理程序全自动开展系统软件或设施的起停;
5 应开设作业者权限管理等安全性体制;
6 应该有主要参数越限警报、安全事故告警及警报纪录作用,并宜配有系统软件或机器设备故障检测作用;
7 宜设定可与别的综合布线系统信息共享的集成化插口。
9.1.7 消火栓系统的检测与监管,应实行我国现行标准相关消防规范的要求;与消火栓系统共用的自然通风空调系统应按消防安全设定的规定配电,并在火灾事故时转到火灾事故操纵情况;通风空调工程风管上的排烟防火阀宜具备部位意见反馈作用。
9.1.8 有特别要求的冷热原机棚、自然通风和空调系统的检测与监管应符合有关标准规范的要求。
9.2 感应器和电动执行器
9.2.1 感应器的选用应符合以下要求:
1 当以安全性保障和机器设备情况监控为目标时,宜挑选温度开关、压力控制器、风流韵事电源开关、水流开关、压差开关、水位传感器等以开关量方式輸出的感应器,不适合应用持续量輸出的感应器;
2 传感器检测范围和精密度应与二次仪表盘配对,并高过加工工艺规定的操纵和测量精度;
3 易燃易爆物品自然环境应选用阻燃隔爆型感应器。
9.2.2 溫度、温度传感器的设定,应符合以下要求:
1 溫度、温度传感器检测范围宜为测量点温度范围的1.2~1. 5倍,感应器检测范围和精度应与二次仪表匹配,并高于工艺规定的操纵和测量精度;
2 供、回水管温度差的2个温度感应器应成对采用,且溫度误差指数应同是正或负;
3 挂壁式气体溫度、温度传感器应安裝在室内通风,能表明被测棚间气体情况的部位;风管内溫度、温度传感器应确保插进深层,不可在检测头与风管两侧产生变形;插式自来水管温度感应器应确保测头插进深层在流水的流行棚范畴内,安裝部位周边不应该有热原及水珠;
4 设备含湿量感应器应安裝在档板后有象征性的部位,应防止热辐射、震动、水珠及二次送风的危害。
9.2.3 工作压力(压力差)感应器的设定,应满足以下要求:
1 工作压力(压力差)感应器的压力(压力差)应高于该点很有可能产生的最高工作压力(压力差)的1.5倍,测量范围宜为该点工作压力(压力差)正常的转变区域的1.2~1.3倍;
2 在同一工程建筑层的同一水体系上安装使用的工作压力(压力差)感应器宜处在同一设计标高;
3 测压点和取压点的设定应依据体系必须和物质种类明确,建在管中流动性平稳的位置并达到商品要的安装使用标准。
9.2.4 egr的设定,应满足以下要求:
1 egr测量范围宜为系统软件较大工作中总流量的1.2~1.3倍;
2 egr安裝部位前后左右应该有确保商品所需求的接管段距离或别的安裝标准;
3 应取用具备瞬态值輸出的egr;
4 宜采用流水摩擦阻力低的商品。
9.2.5 自动调节阀的挑选,应满足以下要求:
1 阀权度的确认应充分考虑调整特性和运输耗能的危害,宜取0.3~0.7。阀权度应按住式测算:
式中:S――阀权度;
△Pmin――调节阀门全开时的的压力损害(Pa);
△P ――调节阀门所属串连环路的总的压力损害(Pa)。
2 调节阀门的总流量特点应依据调整目标特点和阀权度挑选,并宜合乎以下要求:
1)水道两通阀宜选用等百分数特点的闸阀;
2)水道三通阀宜选用双曲线特点或线形特点的闸阀;
3)蒸气两通阀,当阀权度大于或等于0.6时,宜选用线形特点的;当阀权度低于0.6时,宜选用等百分数特点的闸阀。
3 调节阀门的规格应按照应用目标规定的商品流通工作能力,根据测算挑选明确。
9.2.6 蒸气两通阀应选用单阀阀。三通分离阀不可作三通混合阀应用;三通混合阀不适合作三通分离阀应用。
9.2.7 当仅以电源开关方式用以机器设备或系统软件水道转换时,应选用通断阀,不可选用调节阀门。
9.3 采暖排风系统的检查与监管
9.3.1 供热系统解决以下主要参数开展检验:
1 供热系统的供电、供汽和智能回水干管内的热煤溫度和工作压力;
2 过滤装置的进出口贸易负压差;
3 离心水泵等设施的起停情况;
4 热空气幕的起停情况。
9.3.2 开水集中化供热系统的棚温管控应合乎本标准第5.10节的相关要求。
9.3.3 排风系统解决以下主要参数开展检验:
1 排风机的起停情况;
2 易燃或危险物品泄露等安全事故情况;
3 空气过滤网进出口贸易负压差的越限警报。
9.3.4 安全事故排风系统的排风机应与易燃气体泄露、安全事故等探测仪连锁加盟打开,并宜在工作中地址配有声、光等警报情况的警告。
9.3.5 排风系统的操纵应满足以下要求:
1 应确保棚间排风量均衡、溫度、工作压力、污染物质浓度值等规定;
2 宜依据棚间内机器设备应用情况开展自然通风量的调整。
9.3.6 排风系统的监管应满足有关现行标准建筑防火规范和本标准第6章的相应要求。
9.4 空调系统的检测与监控
9.4.1 空调系统应对以下主要参数开展检测:
1 棚里、外气体的溫度;
2 空气冷却器出入口的凉水溫度;
3 空气加热器出入口的开水溫度;
4 空气过滤网进出口贸易负压差的越限警报;
5 离心风机、离心水泵、转轴换热器、空气加湿器等机器设备起停情况。
9.4.2 全年度运作的空调系统,宜使用多工作状况运作的监控设计方案。
9.4.3 棚温容许变化范畴小于或等于±1℃和空气湿度容许变化范畴小于或等于±5%的空调系统,当水冷器空气冷却器选用变水流量操纵时,宜由棚里溫度、环境湿度控制器根据低值或低值选择符开展优先选择操纵,并对电加热器或空气加湿器开展分程操纵。
9.4.4 全气体空调系统的操纵应满足以下要求:
1 棚温的操纵由排风溫度或/和送排风量的调整完成,应依据空调系统的种类和工作状况开展挑选;
2 排风溫度的操纵应根据调整冷却塔或电加热器水道调压阀和/或新、回风管调整电动风阀完成。水道调压阀的设定应合乎本标准第8. 5.6条的要求,且宜选用plc调节阀门;必须操纵混风溫度时电动风阀宜选用plc调节阀门;
3 选用空气处理机组系统软件时,离心风机应选用调速操纵方法;
4 当选用增湿解决时,增湿量应按棚里环境湿度规定和热湿负载状况开展操纵。当棚里散湿量比较大时,宜选用设备含湿量不稳定或不做到设备含湿量的方法,立即操纵棚里空气湿度;
5 缓冲期宜选用增加新风系统比的形式运作。
9.4.5 新风机组的操纵应满足以下要求:
1 新风机组水道电动调节阀的设定应合乎第8.5.6条的规定,且宜选用plc调节阀门;
2 水道电动调节阀的操纵和调整应确保必须的排风溫度额定值,排风溫度额定值应依据新风系统担负棚里负载状况完成明确;
3 当家用新风系统开展增湿解决时,增湿量的操纵和调整可依据增湿精密度规定,选用排风环境湿度稳定或棚里环境湿度稳定的调节方法。
9.4.6 盘管风机水道电动调节阀的设定应合乎第8.5.6条的规定,并宜设定常闭试电动式通断阀。
9.4.7 冬天有冻洁概率的地棚,新风机组或制冷机组应设定防寒维护操纵。
9.4.8 空调系统气体解决设备的排风溫度额定值,应按制冷和加温工作状况各自明确;当制冷和加温工作状况交换时,应设热冷变换设备。冬天和夏天必须更改排风方位和排风量的出风口应设定一年四季变换设备。变换设备的调节可独立设置或做为集中化监控系统软件的一部分。
9.4.9 空调系统的电加热装置应与通风机连锁加盟,并需设没有风进入关闭电源、过热关闭电源保护设备;电加热装置务必采用接地装置及漏电保护保障措施。
9.5 中央空调冷热原以及水系統的检测与监控
9.5.1 中央空调冷热原以及水系统软件,应对以下主要参数开展检测:
1 制冷机组冷凝器进、出入口水的温度、工作压力;
2 制冷机组冷却器进、出入口水的温度、工作压力;
3 换热器一二次侧进、出入口溫度、工作压力;
4 分、分集水器溫度、工作压力(或压力差);
5 离心水泵进出口贸易工作压力;
6 过滤器前后左右压力差;
7 制冷机组、离心水泵、锅炉风机等设施的起停情况。
9.5.2 蓄冷(热)系统软件应对以下主要参数开展检测:
1 蓄冷(热)设备的进、出入口物质溫度;
2 电热锅炉的进、出入口水的温度;
3 蓄冷(热)设备的液位仪;
4 调节阀门的阀位;
5 蓄冷(热)量、制冷(热)量的瞬时值和总计值;
6 常见故障警报。
9.5.3 制冷机组宜选用由制冷量提升操纵运作数量的方法;选用全自动方法运作时,凉水系统软件中各相应机器设备及配件与制冷机组应开展电气设备连锁加盟,次序起停。
9.5.4 冰蓄冷系统软件的二次氟利昂侧热交换器应设防寒维护控制。
9.5.5 变流量一级泵系统软件冷水机组定流量运作时,空调水系统总供、回水管中间的旁通阀调节阀门应选用压差控制。压差测量点有关规定应合乎本标准第9.2.3条的要求。
9.5.6 二级泵和多级离心泵空调水系统中,二级泵等负载侧各个水泵运作数量宜选用流量控制方法;水泵调速宜依据系统软件压差转变控制。
9.5.7 变流量一级泵系统软件冷水机组变流量运作时,空调水系统的控制应满足以下要求:
1 总供、回水管中间的旁通阀调节阀门可选用流量、温度差或压差控制;
2 水泵的数量和调速控制应合乎本标准第9.5.6条的规定;
3 应选用精准控制流量和减少水流量转变速度的控制对策。
9.5.8 中央空调冷却循环水的控制调整应满足以下要求:
1 锅炉风机打开数量或转速比宜依据闭式冷却塔出水量溫度控制;
2 当闭式冷却塔供回水总管间设定旁通阀调节阀门时,应依据冷水机组最少冷却循环水溫度调整旁通阀水流量;
3 可依据水质监测状况开展污水处理控制。
9.5.9 集中监控系统软件与冷水机组控制器中间宜创建通讯联接,完成集中监控系统软件中间服务器对冷水机组运作主要参数的检查与监管。
11隔热与防腐蚀
11.1 绝 热
11.1.1 具备以下情况之一的设备、管路(包含管材、闸阀等)应开展隔热保温:
1 设备与管路的外外表温度高过50℃时(不包括棚里供热管道);
2 热物质务必确保一定情况或主要参数时;
3 不隔热保温时,热损耗率大,且不经济发展时;
4 安裝或铺设在有冻洁风险场地时;
5 不隔热保温时,释放的卡路里会对棚间温、环境湿度主要参数造成不良危害或不安全要素。
11.1.2 具备以下情况之一的设备、管路(包含闸阀、管配件等)应开展隔冷:
1 冷物质小于常温下,必须降低设备与管路的冷损害时;
2 冷物质小于常温下,必须避免 设备与管路表层精华露时;
3 必须降低冷物质在制造和运输环节中的升温或气化时;
4 设备、管路不保冷时,释放的制冷量会对棚间温、环境湿度主要参数造成不良危害或不安全要素。
11.1.3 设备与管道绝热材料的选择应符合以下要求:
1 绝热材料以及产品的关键功能应符合现行标准行业标准《设备及管道隔热设计方案技术规范》GB/T 8175的相关要求;
2 设备与管道的绝热材料点燃特性应达到现行标准相关消防规范的规定;
3 保温隔热材料的可以运用环境温度应高过正常的使用时的物质最高温度;
4 隔冷原材料的最少安全性应用环境温度应明显低于正常实际操作时物质的最低温;
5 保温隔热材料应选择导热系数小、相对密度小、工程造价低、便于工程施工的原材料和产品;
6 隔冷原材料应选择导热系数小、吸湿性率低、吸水性小、相对密度小、抗低温特性好、便于工程施工、工程造价低、综合性经济收益高的原材料;优先选择采用内肌型原材料和对异型位置隔冷简单的原材料;
7 经综合性经济发展比较适合时,可以采用复合型绝热材料。
11.1.4 设备和管道的隔热层薄厚应按目前行业标准《设备及管道隔热设计方案技术规范》GB/T 8175中经济发展薄厚方式测算明确,也可以按本标准附则K采用。必需时也可按容许表层热损害法或容许物质温降法测算明确。
11.1.5 设备与管道的保冷层薄厚应按以下标准测算明确:
1 制冷或热冷同用时,应按目前行业标准《设备及管道隔热设计方案技术规范》GB/T 8175中经济发展薄厚和避免 表层结霜的保冷层薄厚方式测算,并取厚值,或按本标准附则K采用;
2 凝结水管应按《设备及管道隔热设计方案技术规范》GB/T 8175中避免 表层冷凝水隔冷薄厚方式测算明确,或按本标准附则K采用。
11.1.6 当选择混合型风道时,混合型风道绝热材料的传热系数应符合附则K中有关规定。
11.1.7 设备与管道的隔热设计方案应符合以下规定:
1 管道和支撑架中间,管道过墙、穿混凝土楼板处要采用避免 “变形”或“热桥”的对策;
2 保冷层的外外表不可造成冷凝水;
3 选用非内肌原材料隔热保温时,外外表应设防护层;选用非内肌原材料隔冷时,外外表应设隔汽层和防护层。
11.2 防 腐
11.2.1 设备、管道以及配套设施的部、零配件的资料应依据触碰媒介的特性、浓度值和应用条件等标准,融合资料的抗腐蚀特点、应用位置的重要意义及合理性等要素明确。
11.2.2 除稀有金属、不锈钢钢管、不锈钢板材、镀锌管、镀锌板和铝合金板外,金属材料设备与管道的外表层防腐蚀,宜选用上漆。镀层类型应能承受自然环境空气的浸蚀。
11.2.3 镀层的面漆与油漆应搭配应用。外有绝热材料的管道该涂面漆。
11.2.4 上漆前管道外表层的处置应符合镀层商品的相对应规定。当有特别要求时,应在设计方案资料中要求。
11.2.5 用以与低合金钢表层了解的绝热材料应符合现行标准行业标准《工业生产设备及管道隔热工程项目施工标准》GB 50126相关氯离子含量的要求。
附则B 棚外气体测算溫度简单化方式
B.0.1 采暖棚外测算溫度,可按住式明确(化作整数金额):
twn=0.57t1p 0.43tp.min (B.0.1)
式中:twn――采暖棚外测算溫度(℃)
t1p――累年最冷月气温(℃);
tp?min――累年最少日气温(℃)。
B.0.2 冬天空调系统棚外测算溫度,可按住式明确(化作整数金额):
twk=0.30t1p 0.70tp.min (B.0.2-1)
式中:twk――冬天空调系统棚外测算溫度(℃)。
夏天自然通风棚外测算溫度,可按住式明确(化这整数金额):
twf=0.71t1p 0.29tmax (B.0.2-2)
式中:twk――冬天空调系统棚外测算溫度(℃)。
夏天自然通风棚外测算溫度,可按住式明确(化这整数金额):
式中:twp――夏天空调系统棚外测算干球温度(℃)。
B.0.3 夏天空调系统棚外测算干球温度,可按住式明确:
twp=0.71trp 0.29tmax (B.0.3)
式中:twp――夏天空调系统棚外测算干球温度(℃)。
B.0.4 夏天空调系统棚外测算湿度,可按以下公式计算明确:
tws=0.72ts.rp 0.28ts.max (B.0.4-1)
t
tws=0.80ts.rp 0.20ts.max (B.0.4-3)
式中:tws――夏天空调系统棚外测算湿度(℃);
ts?rp――与累年最火月气温和平均空气湿度相对性应的湿度(℃),可在本地大气压强下的焓湿图上查得;
ts?max――与累年极端化最高温度和最火月均值空气湿度相对性应的湿度(℃),可在本地大气压强下的焓湿图上查得。
注:式(B.0.4-1)适用北边地棚;式(B.0.4-2)适用中间地棚,式(B.0.4-3)适用南边地棚。
B.0.5 夏天空调系统棚外测算日气温,可按住式明确:
twp=0.80trp 0.20tmax (B.0.4-3)
式中:twp――夏天空调系统棚外测算日气温(℃)。
附则D 夏天通过规范玻璃窗的太阳辐射量光照强度
附则F 加温由窗门间隙渗透到棚里的强冷空气的热负荷
F.0.1 多层高层工程建筑,加温由窗门间隙渗透到棚里的强冷空气的热负荷,可按住式测算:
式中:Q――由窗门间隙渗透到棚里的强冷空气的热负荷(W);
cp――气体的定压比热容cp=1.01kJ/(kg/m3)
L――渗入强冷空气量(m3/h),按本标准第F.0.2条明确;
tn――采暖棚里设计方案溫度(℃),按本标准第3.0.1条明确;
twn――采暖棚外测算溫度(℃),按本标准第4.1.2条明确;
F.0.2 渗入强冷空气量可依据不一样的房屋朝向,按以下计算公式:
式中:Lo――在纯粹气压功效下,不考虑到房屋朝向调整和房屋建筑内部结构装修隔断状况下,根据每米窗门间隙进到棚里的基础理论渗入强冷空气量[m3/(m.h)];
l1――外窗门间隙的长短(m);
m――气压与压合一同的作用下,考虑到工程建筑身型、内部结构装修隔断和自然通风等要素后,不一样房屋朝向、不一样高宽比的窗门冷气渗透浓度差综合性修正系数;
b――窗门间隙渗风数,当无评测数据资料时,可用b=0.67;
α1――外窗门间隙渗风指数[m3/(m.h.Pab)],当无评测数据资料时,按本标准表F.0.3-1选用;
VO――冬天棚外较多风频的均值风力,m/s,按本标准第4.1节的相关要求明确;
Cr――压合指数,当没法准确测算时,按表F.0.3-2选用;
△Cf――风压差指数,当无评测数据资料时,可用0.7;
n――纯粹气压功效下,渗入强冷空气量的房屋朝向修正系数,按本标准附则G选用;
C――功效于窗门上的合理热压力差与合理风压差之比;
Ch――相对高度修正系数;
h――测算窗门的轴线设计标高(m);
hz――纯粹压合功效下,房屋建筑中揉面的设计标高(m),可用房屋建筑总髙度的1/2;
t'n――房屋建筑内产生压合功效的立井测算溫度(℃)。
F.0.3 外窗门间隙渗风指数、压合指数可按表F. 0.3-1、表F.0.3-2选择。

? 进行条款表明
附则H 夏天空凋冷负载简单化计算方式测算指数表
H.0.1 北京市、西安市、上海市及上海等意味着大城市墙体、平屋面逐时冷负载测算溫度twlq、twlm,可按表H.0.1-1~表H.0.1-4选用。墙体、平屋面种类及隔热性能参数可按表H.0.1-5、表H.0.1-6选用。
H.0.2 外窗热传导逐时冷负荷测算温度twlc,可按表H.0.2采用。
H.0.3 通过无遮光规范夹层玻璃太阳辐射冷负荷系标值CclC,可按表H.0.3采用。
H.0.4 夏天透过规范玻璃窗的阳光总辐射源照度最高值DJmax,可按表H.0.4选用。
附则K 机器设备与管路最少隔热保温、隔冷薄厚及凝结水管防冷凝水薄厚采用表
K.0.1 空调通风设备与保温管道薄厚可按表K.0.1-1~表K.0.1-3采用。
注:管路与机器设备隔热保温指标值标准:
1 所有按经济发展薄厚测算,还款6年,贷款利息10%,使用寿命按120天,2880钟头。热价35元/GJ等同于大城市供暖;热价85元/GJ等同于天燃气供暖。
2 导热系数λ:柔性泡沫橡塑λ=0.034 0.00013tm;离心玻璃λ=0.031 0.00017tm.
3 适用棚里工作温度20℃,风力0m/s;棚外溫度为0℃,风力3m/s.
4 机器设备隔热保温薄厚可按较大规格管路的隔热薄厚再提高5mm。
5 当棚外溫度非0℃时,具体使用的薄厚
在其中δ为工作温度0℃时的查询表薄厚,To为管中物质溫度(℃),Tw为具体使用寿命均值工作温度(℃)。
K.0.2 棚里机棚内空调通风设备与管路隔冷薄厚可按表K.0.2-1~表K.0.2-2中给定的壁厚采用。
注:管路与机器设备隔冷造表标准:
1 均选用经济发展薄厚和防冷凝水规定明确的绝热材料薄厚。冷价按75元/GJ;还款6年,贷款利息10%;使用寿命按120天,2880钟头。
2 Ⅰ棚通常是指较干躁地棚,棚里机棚工作温度不高过31℃、空气湿度不得超过75%;Ⅱ棚通常是指较湿冷地棚,棚里机棚工作温度不高过33℃、空气湿度不超过80%;各大城市或地棚可对比应用。
3 导热系数λ:柔性泡沫橡塑λ=0.034 0.00013tm;离心玻璃λ=0.031 0.00017tm;聚氨酯保温λ=0.0275 0.00009tm。
4 蓄冰机器设备隔冷薄厚应按较大规格管路的隔冷薄厚再提高5mm~10mm。
K.0.4 空调风管隔热传热系数与空调冷凝水管道保冷薄厚可按表K.0.4-1和表K.0.4-2采用。
注:技术性调整:
1 房屋建筑内工作温度:冷气时26℃,暧风时20℃;
2 以玻璃纤维棉为意味着原材料,冷价为75元/GJ,热价为85元/GJ。
注:Ⅰ棚通常是指较干躁地棚,棚里机棚工作温度不高过31℃、空气湿度不得超过75%;
Ⅱ棚通常是指较湿冷地棚,棚里机棚工作温度不高过33℃、空气湿度不超过80%。
引入规范名单
1 《建筑设计防火规范》GB 50016
2 《城镇燃气设计规范》GB 50028
3 《锅炉棚设计规范》GB 50041
4 《高层住宅工业建筑设计消防规范》GB 50045
5 《工业设备及管道隔热工程项目施工标准》GB 50126
6 《公共性节能建筑设计规范》GB 50189
7 《自然通风与空调工程施工质量施工验收规范》GB 50243
8 《机器设备及管道隔热设计技术规范》GB/T 8175
9 《中等热环境 PMV和PPD指数的测定及热舒适条件的规定》GB/T 18049
10 《蓄冷空调工程技术规程》JGJ 158
11 《散热器恒温控制阀》JG/T 195
MENU